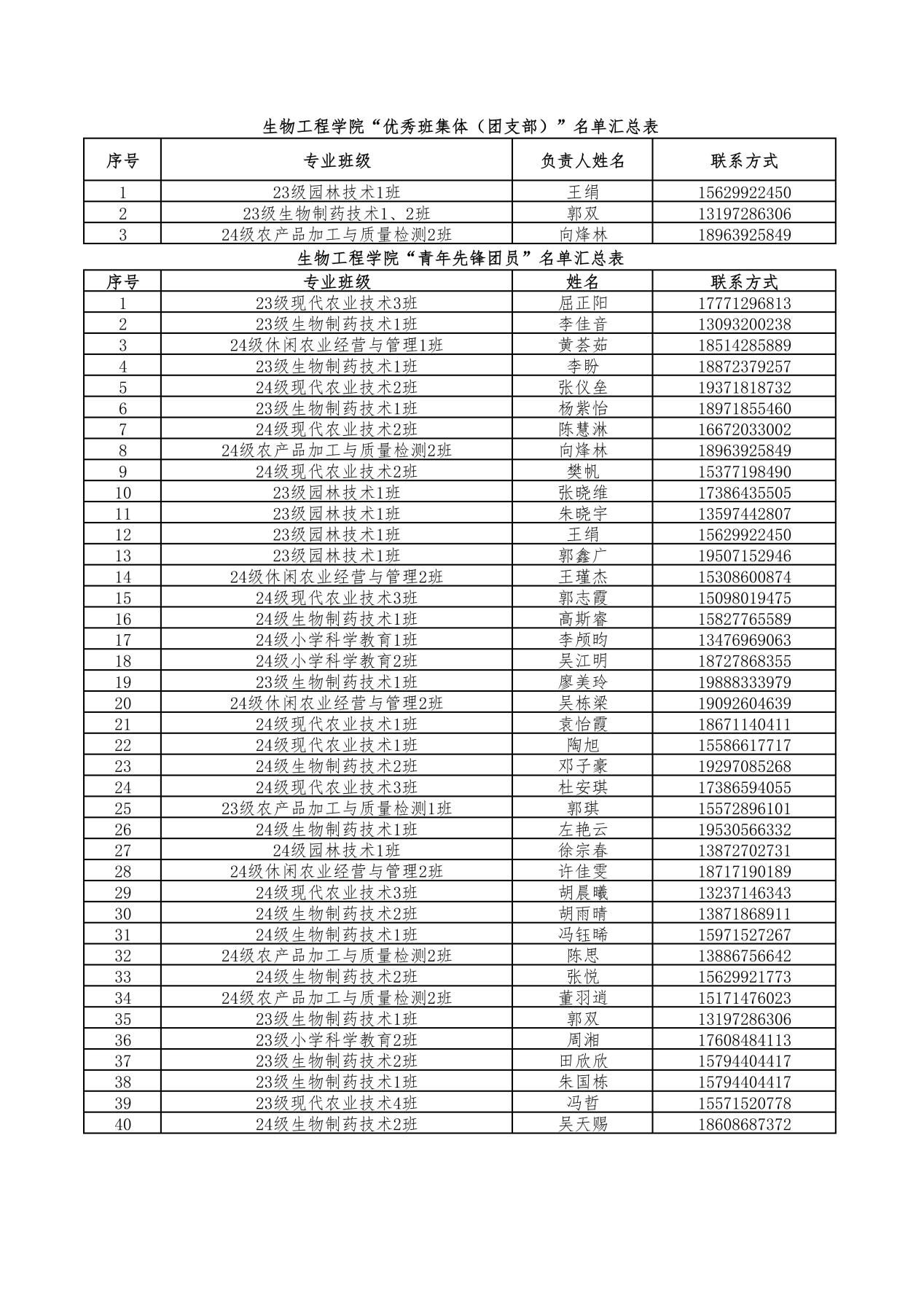
根据《共青团咸宁职业技术学院委员会关于开展2024-2025年度五四评优表彰的通知》(咸职青发〔2025〕4号)要求,生物工程学院严格按照评选条件和程序,组织开展了五四评优推荐工作。经团支部民主评议、学院团总支审核、党总支审议,现将拟推荐名单公示如下:


公示时间:4月24日—4月27日(共3个工作日)。
反馈方式:如对公示结果有异议,请于公示期内以书面形式向学院团总支反映。
联系人:徐亮13797229000
此次评优工作坚持公平、公正、公开原则,旨在树立典型、弘扬先进,激励广大青年团员奋发进取,为学院共青团工作高质量发展贡献力量。
2025年4月24日
图文:熊章正
一审:曾方
二审:胡美勇
三审:王宗莉